微流體技術在潤滑油添加劑合成中的突破
瀏覽次數: 342 發布時間:2018-01-17 09:42:36 發布人:editor
引言
近十幾年來,進口汽車及引進技術生產的汽車大幅度增加,對內燃機油的質量要求也越來越高,采用單劑原料技術調合油品不僅在工藝上麻煩,而且在配方評定方面的困難也很大,大多數潤滑油調合廠難以做到。所以,一些廠家在臺架評定的基礎上生產復合添加劑,這種復合劑具有成品油要求的多種功能,只要在指定性質的基礎油中加入適當的劑量,就可以生產某一質量級別的油品。而且隨著工業的發展及環境保護法規的日益完善,潤滑油添加劑正向著低磷、無灰、多功能等方向發展,尤其是發動機工況溫度的提高對潤滑油的高溫抗氧化、抗磨和腐蝕抑制性能提出了更高的要求[1]。
二丁基二硫代氨基甲酸酯作為具有無灰抗氧、極壓和抗磨性能的多功能添加劑,在液壓油、齒輪油、壓縮機油、潤滑脂和金屬加工液中應用廣泛[2]。其傳統的合成工藝分縮合、烷基化兩步進行(如圖1),其中縮合反應為強放熱反應,反應生成的熱量不易及時移除,在工業生產中容易“ 飛溫”,形成較多副產物,影響產品純度和色度;而烷基化反應中易形成表面活性劑雜質,容易起泡、液泛,造成沖料,操作上很難控制。
近年來,微反應這一新興技術已經逐漸成為國際精細化工技術領域的研究熱點?;谄鋬炘降膫髻|與換熱效率,與常規間歇反應釜相比可以進行高放熱反應[3]。因此我們將對二丁基二硫代氨基甲酸酯合成的傳統間歇工藝改造為安全高效的連續化微反工藝。直接利用計量泵將原料二正丁胺、二硫化碳、二氯甲烷一起輸送入微通道反應器反應,然后在微反應器的倒數第二片利用計量泵將堿液輸送入微通道內,最后經后處理工序得到目標產品(如圖2)。

圖2 微通道反應器制備二丁基二硫代氨基甲酸酯流程
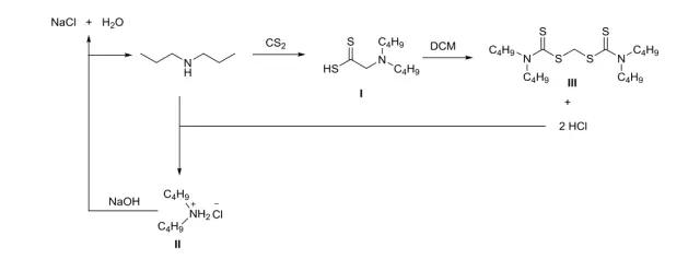
因采用微通道反應器,把堿液放入后續中和反應,與傳統工藝相比,改變了原料加入順序,其反應機理也會有所改變(如圖3)。其大致反應歷程為:二正丁胺和二硫化碳反應生成間體I(N,N-二正丁基硫代氨基甲酸),中間體I和二氯甲烷在微通道中進行烷基化反應生成產品二丁基二硫代氨基甲酸酯III和HCl,HCl立即和二正丁胺反應生成副產物中間體II,由于有中間體II生成,消耗了一半的原料二正丁胺,若不加入堿液反應,產品收率只有50% 左右,為了促進反應的進行,需加入NaOH中和HCl,提高產品收率。

圖3 微通道反應器內反應歷程
微通道實驗
微通道反應器工藝:用計量泵將二硫化碳、二氯甲烷、二正丁胺 3種原料輸送到豪邁MRSS120 微通道反應器內,預熱到反應溫度進行反應,在微反應器的倒數第二片利用計量泵將堿液輸送入微通道內反應,最后經分液,水洗,真空蒸餾回收輕組分,釜液即為產品。實驗分別考察了溫度、停留時間以及物料比對反應的影響。
1 反應溫度對反應的影響
隨著溫度的升高,產品收率增加,但當溫度大于70℃ 時,產品顏色變深,由淡黃色向淺棕色變化,當溫度達到80℃ 時,產品變為褐色。 這是因為產物為油狀液體,溫度較低時,黏度較大,反應器內流動效果不好,隨著反應溫度的增加,物料黏度降低,流動性增加,其在反應器內接觸效果增加,轉化率增加,產品收率增加,但隨著溫度的進一步增加,副反應增加,產品品質下降,合適的反應溫度在60-65℃之間。
隨著停留時間的增加,產品收率增加,當停留時間大于50s 時,產品收率有所下降;當停留時間大于70s時,產品顏色為淺棕色,說明副反應增加。適當的停留時間既可使原料充分混合、反應,又可以保證有足夠的接觸時間,較佳的停留時間為50s。
隨著物料摩爾比的增加,反應收率增加,當物料摩爾比小于 1.1:1時,產品收率迅速增加,增加幅度較大;而當摩爾比大于1.1:1時,產品收率增幅較小,基本不變化。這是由于當原料摩爾比增加時,一方面降低物料揮發造成的影響,另一方面增強了在反應器內與二正丁胺的碰撞概率,增加反應速率,使產品收率增加。當摩爾比增加過大時,一是稀釋了反應,二是浪費了原料,因此較優的摩爾比是n(二正丁胺) : n(二硫化碳) : n(堿液) : n(二氯甲烷)=1:1.1:1.1:0.55。
參考文獻
[1] Styer J, Guinther G. Fuel economy beyond ILSAC GF-5: Correlation of modern engine oil tests to real world performance, [J]. SAE International Journal of Fuels and Lubricants, 2012, 5, 1025 - 1033.
[2] Kaizhong F, Jing L, Haibing M. Tribological characteristics of ashless dithiocarbamate derivatives and their combinations with ZDDP as additives in mineral oil, [J]. Tribological International, 2008, 41, 1226 - 1231.
[3] Taghavi-Moghadam S, Kleemann A, Golbig K G, Microreaction Technology as a Novel Approach to Drug Design, Process Development and Reliability, [J]. Org. Process. Res. Dev. 2001, 5, 652 – 658.
